Forscher aus den Niederlanden weisen darauf hin, dass COVID-19-Impfstoffe daran schuld sein könnten.

Quelle: Übermäßige Sterblichkeit in den Ländern der westlichen Welt seit der COVID-19-Pandemie: ‚Our World in Data‘ schätzt von Januar 2020 bis Dezember 2022
Eine Gruppe von Forschern (Mostert et al.) von der Vrije Universiteit, Amsterdam, veröffentlichte kürzlich eine bahnbrechende Studie im BMJ Public Health. Die Ergebnisse der Gruppe wurden von den Mainstream-Medien aufgegriffen, und The Telegraph wagte zu schreiben: ‚Covid-Impfstoffe könnten zum Anstieg der Sterblichkeitsrate beigetragen haben‘.
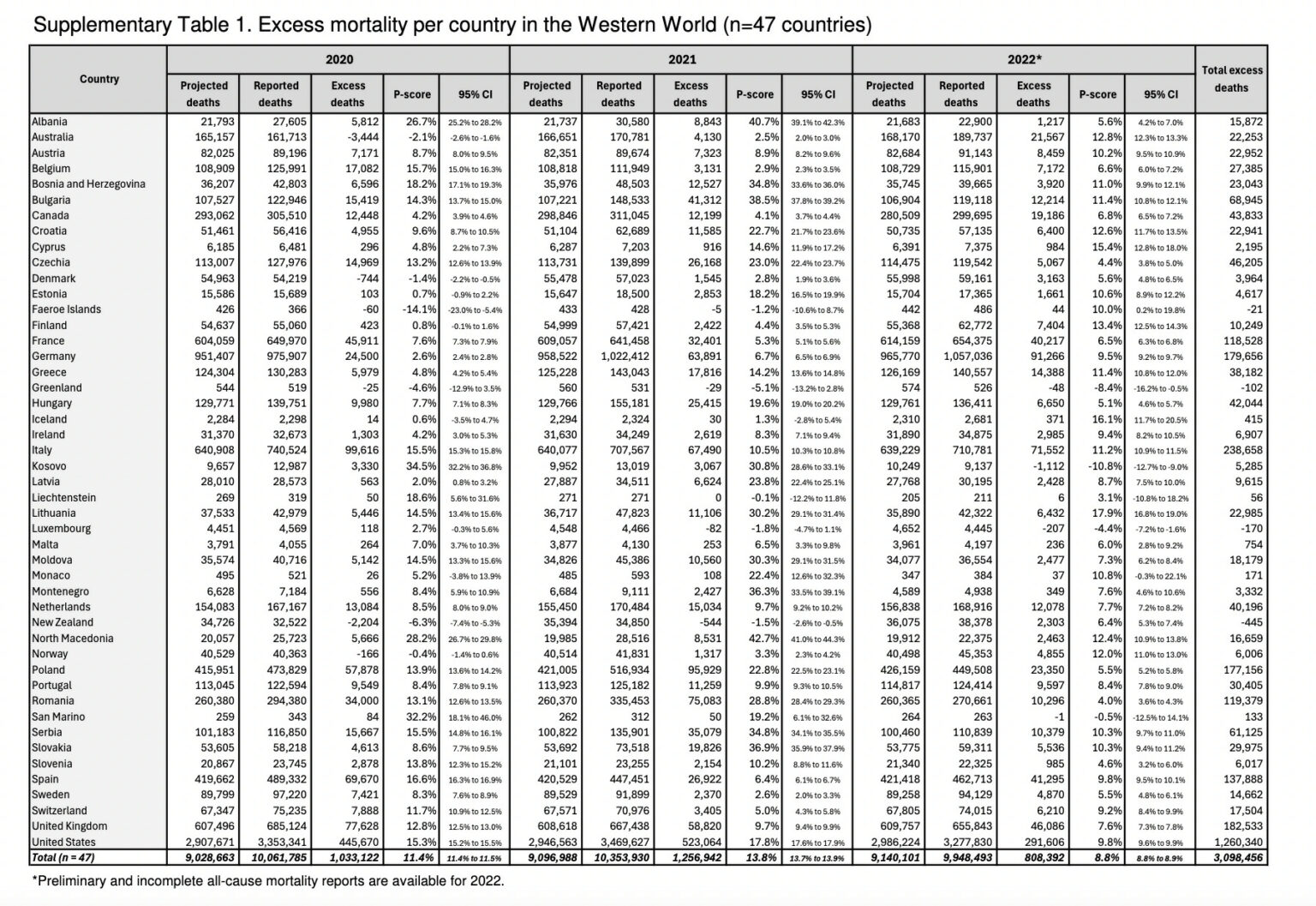
Die niederländischen Forscher analysierten Berichte über die Gesamtmortalität aus 47 Ländern, die in der Datenbank „Our World in Data“ erfasst waren. Es wurden nur Länder berücksichtigt, für die Berichte über die Gesamtmortalität für alle drei aufeinanderfolgenden Jahre (2020-2022) vorlagen. Zur Berechnung der Basislinie der zu erwartenden Todesfälle wurde ein Schätzmodell von Karlinsky und Kobak verwendet. Dieses Modell verwendet historische Sterbedaten in einem Land von 2015 bis 2019 und berücksichtigt saisonale Schwankungen und jährliche Trends bei der Sterblichkeit.
Die alarmierenden Ergebnisse zeigen:
Die Gesamtzahl der überzähligen Todesfälle in 47 Ländern der westlichen Welt beträgt 3.098.456 vom 1. Januar 2020 bis zum 31. Dezember 2022. Im Jahr 2020, dem Jahr des Ausbruchs der COVID-19-Pandemie und der Umsetzung der Eindämmungsmaßnahmen, wurden 1.033.122 überzählige Todesfälle verzeichnet. Im Jahr 2021, dem Jahr, in dem sowohl Eindämmungsmaßnahmen als auch COVID-19-Impfstoffe zur Bekämpfung der Virusausbreitung und -infektion eingesetzt wurden, wurde die höchste Zahl an überzähligen Todesfällen gemeldet: 1.256.942 überzählige Todesfälle. Für das Jahr 2022, in dem die meisten Eindämmungsmaßnahmen aufgehoben und die COVID-19-Impfungen fortgesetzt wurden, weisen die vorläufigen Daten 808.392 überzählige Todesfälle aus.
Die Autoren führen weiter aus:
Im Jahr 2021, als nicht nur Eindämmungsmaßnahmen, sondern auch COVID-19-Impfstoffe zur Bekämpfung der Virusausbreitung und -infektion eingesetzt wurden, wurde die höchste Zahl an überzähligen Todesfällen verzeichnet: 1.256.942 überzählige Todesfälle. Ein wissen-schaftlicher Konsens über die Wirksamkeit nicht-pharmazeutischer Maßnahmen zur Verringerung der Virusübertragung ist derzeit nicht vorhanden.
Für das Jahr 2022, in dem die meisten Maßnahmen zur Eindämmung des Virus wegfielen und die COVID-19-Impfung aufrechterhalten wurde, wurden in den vorläufig verfügbaren Daten 808.392 überzählige Todesfälle gezählt.
Die Forscher betonten:
Obwohl die Covid-19-Impfstoffe bereitgestellt wurden, um die Zivilbevölkerung vor Morbidität und Mortalität durch das Covid-19-Virus zu schützen, wurden auch unerwartete, unerwünschte Ereignisse dokumentiert.
Sowohl medizinisches Fachpersonal als auch Bürger haben in verschiedenen offiziellen Datenbanken in der westlichen Welt schwere Verletzungen und Todesfälle nach der Impfung gemeldet.
Die Studie ist eine der wenigen, die sich mit den Todesfällen auf globaler Ebene befasst – ein neues und beunruhigendes Phänomen, das von den Regierungen und den Mainstream-Medien praktisch ignoriert wurde.
Ich habe das Thema der überzähligen Todesfälle hier, hier und hier behandelt.
Sie ist auch eine der wenigen, die es wagen, auf den großen Elefanten im Raum hinzuweisen: die experimentellen COVID-19-„Impfstoffe“, die als „sicher und wirksam“ angepriesen wurden Die Impfungen, die angeblich „über 20 Millionen Leben gerettethaben“ – diese Behauptung beruhte natürlich auf mathematischen Modellen.
Die Autoren verweisen auf Studien, die mutmaßliche, unerwünschte Ereignisse nach einer Impfung dokumentieren. Zum Beispiel die Studie von Fraiman et al., die eine Sekundäranalyse der placebokontrollierten, randomisierten klinischen Phase-III-Studien mit mRNA-COVID-19-Impfstoffen vorstellte. Die Ergebnisse zeigten, dass die Pfizer-Studie ein um 36 % höheres Risiko für schwerwiegende unerwünschte Ereignisse in der Impfstoffgruppe aufwies. In der Moderna-Studie war das Risiko schwerwiegender unerwünschter Ereignisse bei den Impflingen um 6 % höher.
Sie verwiesen auf eine Studie, in der Berichte über unerwünschte Ereignisse an VAERS und EudraVigilance nach mRNA-COVID-19-Impfstoffen mit denen von Grippeimpfstoffen verglichen wurden. Bei COVID-19-Impfstoffen wurde ein höheres Risiko für schwerwiegende unerwünschte Reaktionen festgestellt als bei Grippeimpfstoffen. Zu diesen Reaktionen gehörten Herz-Kreislauf-Erkrankungen, Blutgerinnung, Blutungen, gastrointestinale Ereignisse und Thrombosen.
Außerdem verwiesen sie auf eine wichtige Studie, aus der hervorging, dass in Deutschland erst „ab April 2021“ mehr Todesfälle zu verzeichnen waren Die deutschen Autoren führten weiter aus: Diese Ergebnisse deuten darauf hin, dass im Frühjahr 2021 etwas passiert sein muss, das zu einem plötzlichen und anhaltenden Anstieg der Sterblichkeit geführt hat.
Ja, was könnte im Frühjahr 2021 passiert sein?
Könnte es sich um die weltweit erste und größte Einführung von experimentellen genbasierten Injektionen überhaupt handeln?
Mostert et al. kommen zu dem Schluss:
Die Sterblichkeitsrate ist in der westlichen Welt trotz der Einführung von COVID-19-Eindämmungsmaßnahmen und COVID-19-Impfstoffen in drei aufeinanderfolgenden Jahren hoch geblieben. Dies ist beispiellos und gibt Anlass zu ernster Besorgnis. Während der Pandemie wurde von Politikern und Medien täglich betont, dass jeder COVID-19-Todesfall von Bedeutung sei und jedes Leben durch Eindämmungsmaßnahmen und COVID-19-Impfstoffe geschützt werden müsse. In der Zeit nach der Pandemie sollte die gleiche Moral gelten. Jeder Todesfall muss gewürdigt und berücksichtigt werden, unabhängig von seiner Ursache.
Ich stimme Ihnen voll und ganz zu – jeder Todesfall ist wichtig, auch die Todesfälle durch COVID-19-Impfstoffe, die systematisch unterdrückt und zensiert wurden.


